• 党代会专题
    • |
    • 挑战杯专题
    • |
    • 电子邮箱
    • |
    • 信息公开
    • |
    • 捐赠
    • |
    • 网上办事服务大厅
    • |
    • OA
    • |
    • English
    • 党代会专题
    • |
    • 挑战杯专题
    • |
    • 电子邮箱
    • |
    • 信息公开
    • |
    • 捐赠
    • |
    • 网上办事服务大厅
    • |
    • OA
    • |
    • English

    科技动态

    声学研究所程建春课题组在声学涡旋场的研究方面取得进展

    发布时间:2016-05-19 点击次数: 作者:科学技术处 来源:新闻中心

    最近,凯发k8官网物理学院声学研究所程建春课题组在声学涡旋场的研究方面取得进展, 最新工作于2016年5月16日作为封面文章(Featured Article)在Appl. Phys. Lett. 发表[Appl. Phys. Lett. 108, 203501 (2016)](图1)。论文第一作者为博士生江雪,共同通信作者是梁彬教授和新加坡国立大学仇成伟。该工作提出了“宽带稳定的声涡旋场发射器”(Broadband and stable acoustic vortex emitter)的设计思想,首次设计出一种宽频带、拓扑数稳定的声涡旋场发射器,并成功地在实验上实现该项设计。

    图1 2016年5月16日Appl. Phys. Lett.周刊封面。

    对携带轨道角动量、具有螺旋相位分布的声涡旋场的研究,是相关领域的一个研究热点。然而,已有研究中,声涡旋场发射器主要基于利用大量的换能器构成声学阵列、或利用厚度呈螺旋分布的结构。通过繁杂的电路独立控制每个单元的相位延迟,将带来巨大的成本和复杂的操作过程,而单元固有的几何尺寸也限制其在高频范围的应用。利用螺旋分布厚度的原理仅能设计对单一频率有效的涡旋场发射器。同时,由于螺旋状几何厚度的固有限制,使其不能在入射/出射端同时具有平面形状。而平面状、小体积的特点在实际中具有重要价值。此外,已有研究中产生的声涡旋场,仅能够在很短的传播距离内保持拓扑数稳定。

    为解决传统设计中的难题,课题组采用了一种全新的物理机制,巧妙地利用结构对声波的衍射作用,设计一种由亚波长螺旋裂缝耦合形成的平面型声涡旋场发射器,并首次在理论和实验中在宽频范围内产生拓扑数稳定的声涡旋场。该声涡旋场发射器的设计具有很大的灵活性,能够通过调整螺旋形裂缝的数目控制涡旋场的拓扑数。此外,该涡旋场发射器的材料选择广泛,结构简单,极大降低了设计与制备的难度,为在宽频范围内产生拓扑数稳定的声涡旋场提供了崭新的设计可能性,不仅对声涡旋场的研究领域有着重要科学意义,更将具有广阔的应用前景。

    图2不同拓扑数的声涡旋场发射器原理示意图(第一行)、声场相位分布图(第二行)及声强分布图(第三行)。

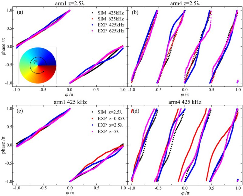
    图3 不同频率及不同传播距离上声涡旋场相位分布的实验、仿真对比图。

    图2为具有不同拓扑数的声涡旋场发射器的原理示意图,以及所产生的涡旋场的相位、声强分布图。图3为不同频率及不同传播距离上涡旋场相位分布的实验、仿真结果对比图,显示该设计能够在宽频带、长距离内产生拓扑数稳定的声涡旋场,且其拓扑数可灵活控制。

    该项工作得到国家重大科学研究计划、人工微结构科学与技术协同创新中心、国家自然科学基金等重大科研项目的支持。

    物理学院 科学技术处