生命科学学院李建龙教授团队在蒙古高原及全球草地资源遥感监测与质量定量评估研究中再次取得了重要研究成果。该团队利用遥感、气象(气温、降水和辐射数据)、土地覆盖(IGBP)和统计数据(人口、经济和牲畜数据)及自主研发的5S技术,分析了2001-2014年期间蒙古国和内蒙古草地的转入及转出情况并做定量统计,并计算了蒙古高原草地潜在净初级生产力(PNPP)、实际净初级生产能力(ANPP)、土地利用变化引起的生产力变化量(LNPP)和管理措施引起的生产力变化量(MNPP),通过构建Slope评估模式,定量评估了气候变化和人类活动对蒙古高原及全球草地NPP变化的相对贡献率。此外,该团队还对比分析了中国和蒙古国在草地恢复方面采取的一系列生态恢复措施,研究成果对于全球草地自然资源的优化利用与科学管理,实现草地资源的可持续利用有重要的科学意义和应用价值。该成果以“Impact of Human Activities and Climate Change on the Grassland Dynamics under Different Regime Policies in the Mongolian Plateau” (https://www.sciencedirect.com/science/article/pii/S0048969719342937)为题在《Science of the Total Environment》发表,第一作者为张艳珍博士,通讯作者为李建龙教授。
蒙古高原位于欧亚大陆中部,是典型的大陆性气候,分布着世界上最典型的草地资源和类型,也是我国北方重要的生态屏障,其中典型草地是其主要的草地类型,是世界上典型的草原牧区。然而,由气候变化和人类活动引起的蒙古高原草地退化形式加剧,裸地面积有扩大趋势,荒漠化日益严重。近年来,为解决草地植被退化问题,中蒙两国政府均采取了一系列治理措施和生态工程。本研究为了评估不同政治制度下恢复措施对草地植被的作用,定量评估了草地变化特征及土地利用变化、气候变化和管理措施对草地退化/恢复的影响,为草地资源科学管理和保护提供了科学的依据。

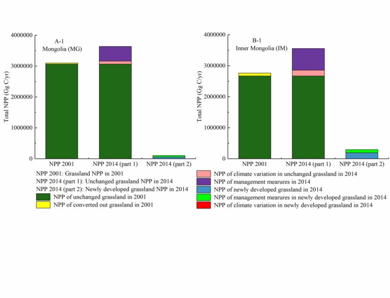
The total grassland NPP of MG (A) and IM (B) in 2001 and 2014, and relative contributions of factors to grassland NPP change.
他们研究结果表明:在研究期间,蒙古国和内蒙古的草地面积均有增加,这主要是由荒漠和森林转化而来,而内蒙古的农田向草地的转化也不可忽视。内蒙古和蒙古国草地的恢复面积分别占90.21%和81.45%。与蒙古国相比,内蒙古草地的土地转化NPP和NPP总量显著提高。另一方面,人类活动是蒙古高原退化区的主导因子,而气候因子则是草地恢复区域的主导因子。中蒙两国政府实施的一系列治理措施和生态工程项目均使草地退化状况有所改善,尤其是中国政府实施的退耕还林还草工程和三北防护林生态工程对我国内蒙古草地植被恢复和生态质量及全球生态植被改善起到了重要作用。

The spatial distribution of grassland degradation in MG (A-1) and IM (B-1) and restoration in MG (A-2) and IM (B-2) induced by climate and human factors.
该研究工作得到国家重大研发计划(No.2018YFD0800201)、国际APN重点项目(AR-CP2015-03CMY-Li)和澳大利亚政府基金项目(PSLP:No.64828)等项目的资助。
(生命科学学院 科学技术处)